
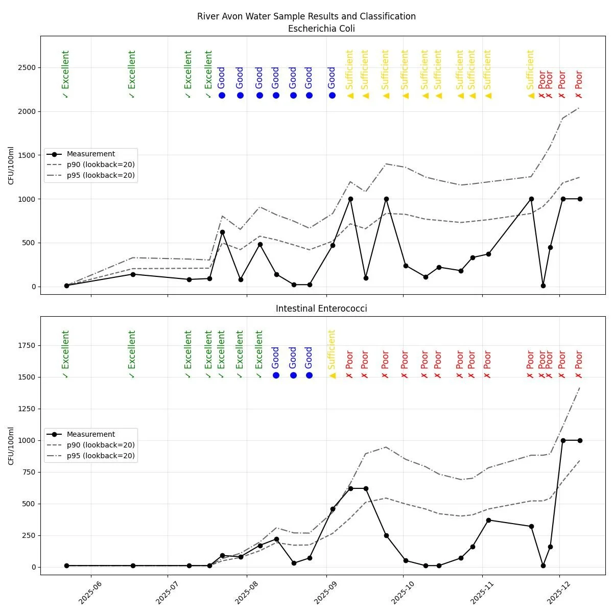
Water sampling
As part of our campaign, we frequently test the quality of the river water for bacteria and harmful pollutants
Follow us on social media to see our most recent sampling results
2021
We collected 12 samples from 29 July to 22 October 2021.
2022
We collected 12 samples from 20 May to 8 September 2022.
2023
We collected two samples, both in September 2023.


